Belajar Menghitung Pecahan Campuran dengan Contoh Soal, Materi 4 SD

Untuk anak-anak kelas 4 SD, apakah kalian merasa belajar matematika sangatlah sulit? Rumus atau cara matematis yang perlu kamu gunakan terkesan ribet dan susah.
Jangan menyerah dulu! Sebenarnya pelajaran matematika dapat menjadi hal yang menyenangkan ketika kamu menguasainya. Perbanyak belajar dan latihan maka tentunya kamu dapat menyelesaikan soal-soal matematika dengan baik.
Pada kesempatan kali ini, Popmama.com mau membantumu belajar mengenai pecahan campuran.Cara menghitung pecahan campuran sendiri cukup berbeda dari pecahan biasa. Tapi tenang saja, materi ini tidak sulit kok.
Yuk persiapkan alat tulis dan buku, mari kita belajar!
1. Yuk berkenalan dengan pecahan campuran!

Pepatah pernah bilang, tak kenal maka tak sayang. Sebelum mulai menghitung, ada baiknya kita mengetahui dahulu apa itu pecahan campuran.
Pecahan campuran merupakan bentuk atau jenis lain dari bilangan pecahan. Umumnya pecahan memiliki pembilang, yaitu bilangan yang dibagi, dan penyebut, yaitu bilangan yang membagi.
Sedangkan ada pecahan campuran, tidak hanya terdapat pembilang dan penyebut saja. Pada pecahan campuran terdapat juga bilangan bulat biasa yang terletak di depan bilangan pembilang dan penyebut.
Inilah mengapa cara menghitung pecahan campuran berbeda dari bilangan pecahan biasa.
2. Cara menghitung pecahan campuran

Sama seperti menghitung pecahan, menghitung pecahan campuran dapat dihitung menggunakan cara penjumlahan, pengurangan, perkalian, dan pembagian.
Dalam menghitung pecahan campur, hal pertama yang perlu kamu lakukan ialah dengan mengubah pecahan campuran menjadi bilangan pecahan biasa.
Cara mengubah pecahan campuran menjadi pecahan biasa ialah dengan cara mengalikan bilangan bulat dengan penyebut yang ada di bilangan pecahan. Setelahnya baru operasi hitung dapat dilakukan.
Contoh cara menghitung pecahan campuran.
Coba lihat soal pecahan campuran di atas. Diberikan soal 2 1/2 + 3 1/2. Untuk menyelesaikannya kamu perlu mengubah keduanya menjadi pecahan biasa, yaitu dengan menyamakan penyebutnya. Bilangan bulat 2 dianggap 2/1 karena 2/1 = 2. Lalu tambahkan dengan bilangan pecahan 1/2.
Setelah keduanya memiliki bentuk pecahan yang sama, kini tugasmu ialah menjumlahkannya seperti biasa, yaitu 5/2 ditambah dengan 7/2. Hasilnya kamu akan mendapatkan angka 12/2, lalu dibagi seperti biasa dan tersisalah 6.
3. Cara pecahan campuran 1

Bagaimana apakah kamu paham? Jika belum tenang saja ada cara lain yang dapat kamu gunakan untuk menjawab permasalahan pecahan campuran. Coba lihatlah soal di atas!
Di soal tersebut diberikan penjumlahan 2 1/2 + 4 1/2. Perhatikan cara pengerjaan di soal, berbeda dari sebelumnya, anak-anak langsung dapat mengalikan penyebut (2) dengan bilangan bulat biasa (2 atau 4) lalu menambahkannya dengan pembilang (1).
Setelah mendapatkan kedua jawabannya, kamu dapat langsung menjumlahkannya sebab kedunya telah berbentu pecahan dan memiliki penyebut yang sama.
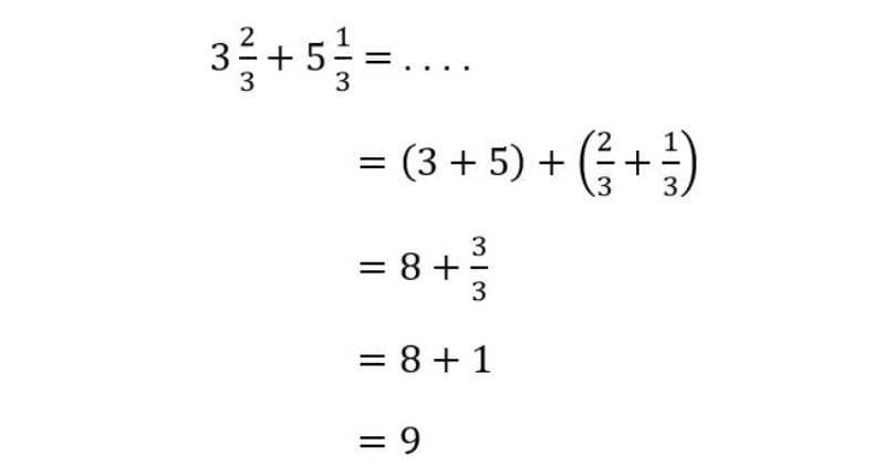
4. Cara pecahan campuran 2

Masih belum paham? Tenang saja, dengan cara ini pastinya kamu paham. Ini merupakan cara termudah untuk menyelesaikan pecahan campuran.
Lihat baik-baik soal di atas. Terdapat pecahan campuran 3 2/3 + 5 1/3. Berbeda dari sebelumnya, yang perlu kamu lakukan kini ialah memisahkan bilangan bulat dengan pecahan. Jumlahkan dahulu bilagan bulat dan pecahan secara terpisah.
Seperti soal di atas, 3 + 5 sedangkan 2/3 + 1/3. Hasilnya kamu akan mendapat 8 dan 3/3, lalu jumlahkan kedunya, dan kamu mendapatkan hasil 9. Bagaimana mudah bukan? Oh ya, perlu diingat, cara ini hanya berlaku ketika penyebutnya berada dalam jumlah yang sama.
Itulah cara mengerjakan pecahan campuran beserta pembahasan soalnya. Tetap berlatih dan belajar ya agar kamu dapat memahaminya dengan baik.



















